污水厂设计处理水量 30000 t/d,作为纺织工业园区的重要配套设施,主要接纳园区内近 30 家纺织染整企业排放的污水(占总设计水量的 95% 以上), 此外还有少量附近居民小区的生活污水。
污水厂工艺主要流程为:一级提升泵房→初沉池→二级提升泵房 →水解调节池→曝气池→二沉池→混凝沉淀池。
1 污泥产生的原因分析
从主要工艺流程看,污水厂采用的工艺为水解酸化 + 好氧生化 + 深度处理。其中,调节池除了起到调节水质水量的作用外,更重要的是其池内微生物的水解酸化作用,水解酸化调节池水力停留时间 8 h;生化曝气池采用廊道式推流延时曝气,水力停留时间 为 26 h。
表 1 为该厂设计进水指标以及从 2018 年 3 月至 6 月份的进水指标平均值。

污水厂排放污泥的构筑物分别为初沉池、水解调节池、二沉池及混凝沉淀池。其中,水解调节池和二沉池排放的污泥为生化污泥,其污泥产生的原因为厌氧和好氧微生物的生长。
初沉池和混凝沉淀池排放的污泥为物化污泥,混凝沉淀池的污泥产生的原因是废水中投加药剂 pac 和 pam 所产生的絮凝体。
从表1 实际进水水质指标可以看出,污水厂进水 ph 远高于设计进水 ph 指标,进水呈强碱性,故在实际运行过程中,需在进水集水井加大量的酸调节 ph 值。
考虑到成本等因素,污水厂用于调节 ph 的废酸为附近钢管厂洗钢管的废酸,但在实际运行中发现,投加钢管厂废酸后,污水中会产生大量的沉淀物(ss)。
但其上清液的色度较进水有明显降低,初沉池污泥产生的原因为:一是进水 ss 带来的污泥;二是废水投加废酸后产生的污泥。
2 污泥组成的量化分析
2.1 初沉池污泥量化分析
初沉池污泥产生于进水 ss 和废酸的投加,而在废酸投加产生的污泥中:
由园区染整企业生产工艺可知, 污水中存在大量的染料和浆料,污水经过中和处理后, 这些染料和浆料从污水中沉淀下来,产生污泥;
该厂投加的是钢管厂废酸,废酸中存在一定量的铁离子和亚铁离子,与碱性污水中和后,产生铁离子和亚铁离子氢氧化物等沉淀;
由于铁离子和亚铁离子的某些化 合物(如氯化铁、硫酸铁、氢氧化铁等)具有一定的混凝剂功能,因此废水在加酸中和后,铁离子对废水起到一定的混凝沉淀作用,产生絮凝体沉淀。
基于以上3点的分析,对该厂2018年某日的原水进行了加酸试验,试验结果如表 3 所示。


从表 2、表 3 的试验结果可以看出,使用钢管厂废酸和稀硫酸对污水进行中和后,均产生了大量的沉淀物,投加钢管厂废酸产生的 ss 较单纯投加稀硫酸多出 2240-1780=460 mg/l,这部分 ss 分析认为是废酸中铁离子及铁离子与废水中的胶体物混凝沉淀产生。
虽然钢管废酸较稀硫酸多产生 460 mg/l 的沉淀物,但对原水 codcr 和色度的去效果要远远好于稀硫酸。由试验数据推导出的污水厂初沉池污泥组成如表4所示。

2.2 水解调节池和二沉池污泥量化分析
2.2.1 水解调节池污泥量化分析
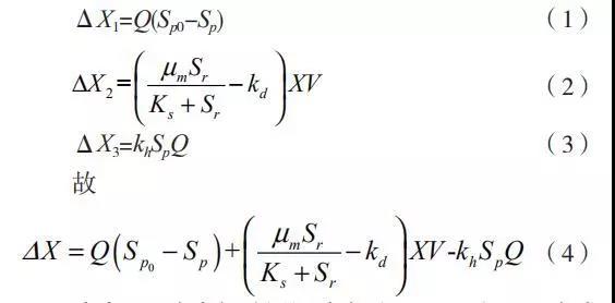
在稳态条件下,水解池内剩余污泥量可由质量平衡求得[1] 。
换句话说,剩余污泥量(δx)= 进出水颗粒有机物的减少量(δx1)+ 微生物净增长量(δx2)- 水解的有机物量(δx3),其中:

颗粒态有机物浓度(mg/l);kh 为颗粒物水解速率常数(d-1);q 为处理水量(m3 /d);μm 为水解微生物最大比生长速率(d-1);kd 为内元代谢系数(d-1)。
根据该厂工艺特点,废水在经过初沉池的沉淀后进入水解酸化池,故进入水解酸化池的颗粒物浓度较低,而该厂水解酸化池采用填料附着式,故水解酸化池出水颗粒物浓度可以忽略不计,故式(4)中, δx1 和 δx3 这两项可以忽略不计。
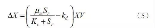
因此,式(4)可以简化为:

该厂 2018 年 3 月份间断测定的初沉池出水数 和水解池内污泥浓度如表 5 所示。通过资料查询, 对于印染废水,其动力学参数如下 [2] :

将上述数据代入式(5),结果如表 5 所示。其中,水解池容积 v=10 000 m3。
由表 5 可得,水解调节池日产生干泥(mlvss)量平均值为 2.56。

2.2.2 二沉池污泥量化分析
根据该厂 2018 年 3 月份检测的每日排泥量及排泥浓度,结果如表 6 所示。

由表 6 计算可得,平均值(mlss)为 4.14。
从上述分析,水解调节池通过计算得知,每日产生干污泥量 2.56 t mlvss,假设其污泥组成中 mlvss 与 mlss 比值为 0.85,则水解调节池每日产生干污泥为 3.01 t mlss;结合二沉池每日排泥量,该印染废水厂每日生化排泥量为 3.01+4.14=7.15 t 干泥。
2.3 混凝沉淀池产生污泥量分析
对于该厂混凝沉淀池产生的污泥量,通过小试试验的方法测定,即根据运行中的实际药剂(pac+pam)的投加量,取一定量的二沉池出水水样,向水样中投加 pac 和 pam,投加量根据运行投加量折算,反应后取一定量的混合样品测定其 ss,结果如表 7 所示。

根据上述试验结果,结合该厂 2018 年 3 月份平均日处理水量,按 22 500 t/ 日处理水量计算,得到该厂混凝沉淀部分日产生干污泥量 22 500×188÷106=4.23 t。
3 结语
通过上述的量化分析,该印染废水厂污泥组成情况如表 8 所示。

由此可以看出,对于印染废水运行中产生的污泥,物化污泥产量远远大于生化污泥产量,而物化污泥中的大部分来自废水中的染料和浆料,这些染料和浆料在碱性条件下呈溶解状态。
废水经过加酸中和处理后,这些染料浆料就会大量沉淀,其干污泥占该厂干污泥产量的百分比为 83.1%×59.82%=49.71%。因此,控制住了废水中染料浆料的含量,也就能有效降低污泥的产生量。
参考文献 |
1 张希衡 . 废水厌氧生物处理工程 [m]. 北京:中国 环境科学出版社,1996.
2 于静洁 . 印染废水处理工艺及其数学模型研究 [d]. 上海:同济大学,2005.
资料来源 | 北极星水处理网










